7
1.1.
E-commerce in Italia: alcuni dati
L’e-‐commerce viene definito come un’attività commerciale “che ha luogo su Internet,
attraverso la visita di un compratore ad un website di vendita a cui segue una
transazione (Economist, March 2000).
Il valore dell’e-‐commerce B2C a livello globale ha raggiunto nel 2014 la cifra
complessiva di 1.500 miliardi di dollari, con un incremento del 20,3% sul 2013.
Il mercato e-‐commerce mondiale crescerà nel 2015 di un ulteriore con un totale
vendite che raggiungerà i miliardi di dollari. La crescita sarà guidata principalmente
dai mercati emergenti, grazie alla diffusione dell’accesso a internet e dei dispositivi
mobili, dal
mobile commerce
e dall’entrata in nuovi mercati internazionali da parte dei
maggiori brand. Nel 2014 la crescita del mercato cinese, indonesiano e indiano
porterà l’area Asia-‐Pacific a superare il Nord-‐America in termini di valore assoluto
(somme spese), sorpasso inizialmente previsto per il 2013.
Per quanto riguarda il mercato europeo lo
shopping on line
è un’abitudine ben
consolidata in Gran Bretagna, Germania e Francia, mercati che rappresentano
complessivamente il 70-‐80% dell’e-‐commerce europeo, mentre è appena agli inizi o
sta crescendo nel resto d’Europa, inclusi Paesi come Italia e Spagna.
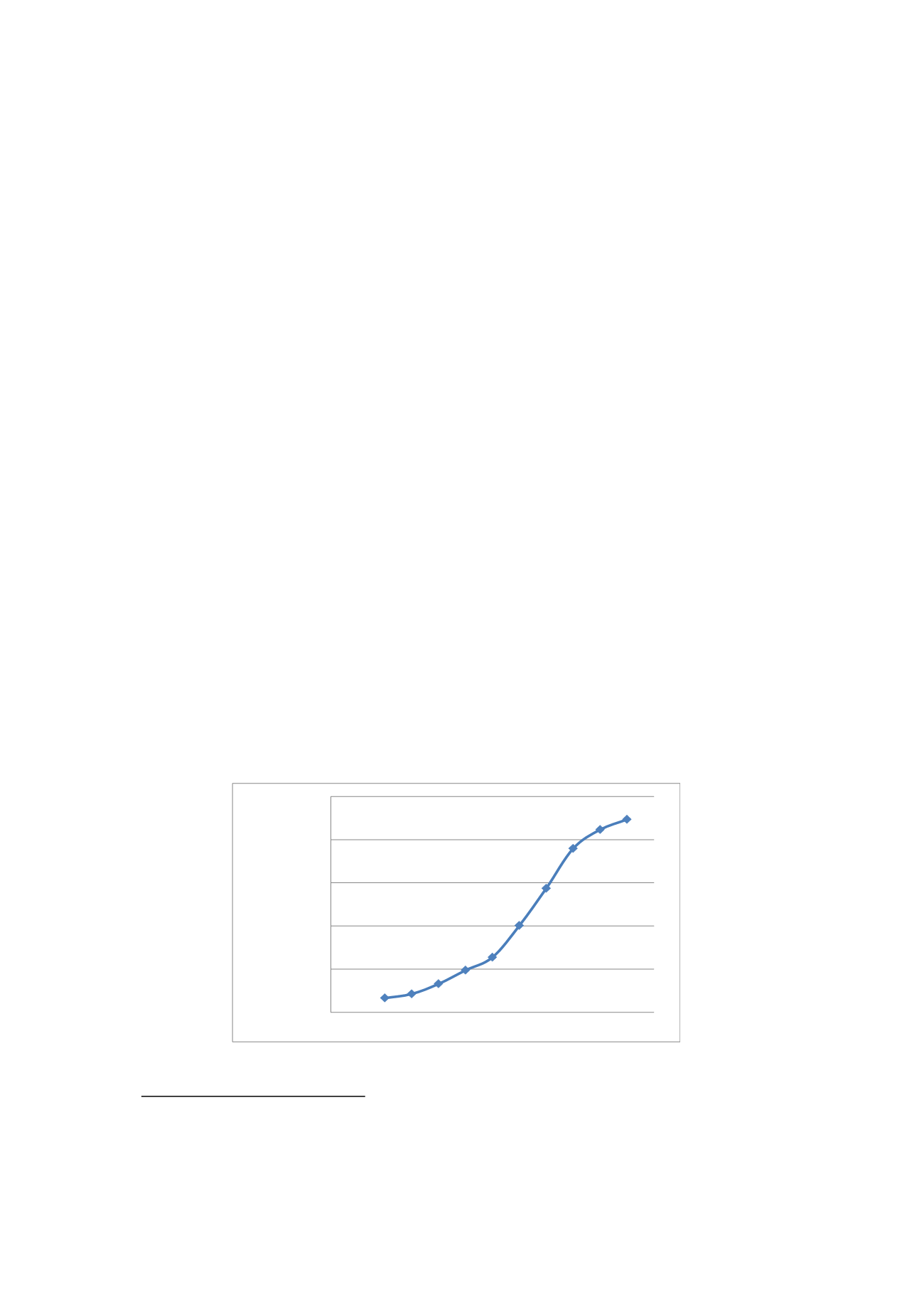
In Italia il valore del fatturato e-‐commerce nel 2014 è di 13,3 miliardi di Euro (con
esclusione del comparto del gioco online), con una crescita di 2 miliardi di euro sul
2013
2
riconducibile per il 70% alla vendita di prodotti e per il 30% alla vendita di
servizi. Tra i comparti di prodotto spiccano Abbigliamento e Informatica ed
Elettronica di consumo, che contribuiscono alla crescita complessiva con circa 350
milioni di euro ciascuno. Tra i servizi emerge ancora il Turismo, a cui è riconducibile
un quarto della crescita totale, mentre restano sostanzialmente stabili gli altri settori.
Fig. 1. Crescita del fatturato e-‐commerce in Italia dal 2004 al 2014
Fonte: Casaleggio e associati (2014)
2
Dati pubblicati sul “ rapporto annuale sull’e-‐commerce”
dell’Osservatorio e-‐Commerce B2c della
School of Management del Politecnico di Milano, in collaborazione con il consorzio Netcomm.
Un altro rapporto interessante è quello di
Casaleggio e Associati (2014), “Rapporto e-‐commerce
2014”che presenta dati iversi per hé include nel rapporto le somme devolute al gioco online che
rappresentano circa il 50% di tutto il volume d’affari online.
0
5.000.000.000
10.000.000.000
15.000.000.000
20.000.000.000
25.000.000.000
2002 2004 2006 2008 2010 2012 2014
+29%
+55%
+48%
+31%
+58%
+43%
+32%
+12%
+6%




